RbCs molecules

This experiment aims to create a 3-dimensional (3D) lattice of RbCs molecules.

Beginning with a gas of ultracold RbCs molecules, we plan to introduce a 3D optical lattice trapping potential. Molecules individually occupy sites in the lattice, creating an array of molecules confined to different positions in space (sites of the lattice). This system serves as an exciting platform for simulating quantum-mechanical models in condensed matter physics. For instance, molecules in neighbouring sites of the lattice can interact and exchange rotational energy states which can be an analogous to spin-exchange in the Ising model.

Absorption imaging of atoms that used to be molecules after Stern-Gerlach seperation (left). RbCs molecules excited up the ladder of rotational states with microwaves (right).

To achieve this goal we need three main ingredients:

• A 3D optical lattice trapping potential. This traps the molecules in space.

• A high filling-fraction of the 3D lattice. This means interactions between molecules in the lattice are strong.

• Long quantum coherence times between different rotational energy states of RbCs in the lattice. This allows the states of different molecules in the lattice to maintain their appropriate character over the time period of simulations.

Magic wavelength trapping

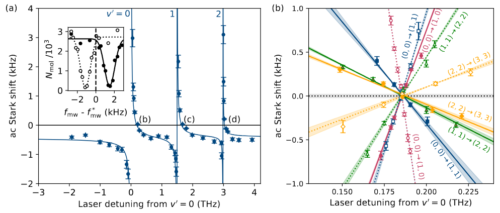
We have recently made great strides in realising a 3D lattice of RbCs molecules with long coherence times between different rotational states. Utilising a ‘magic’ wavelength, we recently produce world-leading coherence times of diatomic molecules in an optical trap. ‘Magic’ in this context means eliminating differential ac Stark shifts from the trapping light. This allowed us to observe the effects of relatively weak dipolar interactions between different molecules in the lab for the first time!

Caption: Ramsey coherence experiment of molecules in magic trap showing world-leading coherence times of order seconds (left). Dipolar mixtures of states presented as squares and non-dipolar mixtures as circles. Dipole-dipole interactions clearly contributes to a shorter coherence time. Coherence time as a function of dipole-dipole interaction strength in the trap (right). Coherence time vs the reciprocal of dipole moment squared follows a linear trend, shown by the bottom-left inset [5] .

We have started to install optics for a magic 3D lattice, using high-power optical fibres to launch the magic wavelength light towards the molecules for trapping. We have also taken steps to better frequency stabilize our magic laser using a ultra low expansion cavity as reference.

The next steps

We want to load molecules into the lattice potential. The method in which to do that is to be decided. We plan to use an accordian lattice setup to help load molecules into the 3D lattice by judiciously ramping the different trapping lights on and off. We hope to see dipole-dipole interactions between many states in of the molecule in the same experiment as well as ‘bulk’ exchange interactions between molecules in different areas of the lattice.

Lab publications

Papers

[5] Second-scale rotational coherence and dipolar interactions in a gas of ultracold polar molecules
Philip D. Gregory, Luke M. Fernley, Albert Li Tao, Sarah L. Bromley, Jonathan Stepp, Zewen Zhang, Svetlana Kotochigova, Kaden R. A. Hazzard, and Simon L. Cornish
Nat. Phys. 20, 415 (2024)

[4] An association sequence suitable for producing ground-state RbCs molecules in optical lattices
Arpita Das*, Philip D. Gregory*, Tetsu Takekoshi, Luke Fernley, Manuele Landini, Jeremy M. Hutson, Simon L. Cornish, and Hanns-Christoph Nägerl
SciPost Phys. 15, 220 (2023)

[3] Diatomic-py: A Python module for calculating the rotational and hyperfine structure of 1Σ molecules
Jacob A. Blackmore, Philip D. Gregory, Jeremy M. Hutson, and Simon L. Cornish
Comput. Phys. Commun. 282, 108512 (2023)

[2] Molecule–molecule and atom–molecule collisions with ultracold RbCs molecules
Philip D. Gregory, Jacob A. Blackmore, Matthew D. Frye , Luke M. Fernley, Sarah L. Bromley, Jeremy M. Hutson, and Simon L. Cornish
New J. Phys. 23, 125004 (2021)

[1] Robust storage qubits in ultracold polar molecules
Philip D. Gregory, Jacob A. Blackmore, Sarah L. Bromley, Jeremy M. Hutson, and Simon L. Cornish
Nat. Phys. 17, 1149–1153 (2021)

 

PhD theses

Luke Fernley: Magic Wavelengths and Dipole-Dipole Interactions in Ultracold RbCs Molecules (2024)

Jacob Blackmore: Coherence and Collisions in Ultracold 87Rb133Cs Molecules (2020)

Philip Gregory: Coherent Control of Ultracold Polar Molecules (2018)

Peter Molony: Creation of ultracold polar ground-state RbCs molecules (2016)

Michael Koppinger: Creation of ultracold RbCs molecules (2014)

Daniel McCarron: A Quantum Degenerate Mixture of 87Rb and 133Cs (2011)

Patrick Tierney: Magnetic trapping of an ultracold 87Rb and 133Cs atomic mixture (2009)